Pulsed qubit spectroscopy¶
This experiment (also known as two-tone spectroscopy) measures the qubit resonance frequency, \(\omega_q\).
Description¶
The qubit resonance frequency, \(\omega_q\), is related to the energy difference between the ground (\(E_0\)) and excited states (\(E_1\)) through
where \(\hbar\) is the reduced Planck's constant.
If frequency of the drive pulse matches \(\omega_q\), the qubit will be (partially) excited; if it does not, it will remain in the ground state. By sweeping the drive frequency around the expected qubit frequency and measuring the resonator response after a (constant) readout pulse is applied, it's possible to determine the value of \(\omega_q\) 1. (Note: the resonator readout frequency must already have been determined. This can be done by performing the Resonator Spectroscopy experiment.)
In superconducting qubits, \(\omega_q\) is usually a few GHz (in the microwave range).
Experiment steps¶
- The qubit drive frequency is swept over a range of values defined around the expected qubit frequency. For each value of the drive frequency, a (constant) readout pulse is applied and the resonator's transmission is measured.
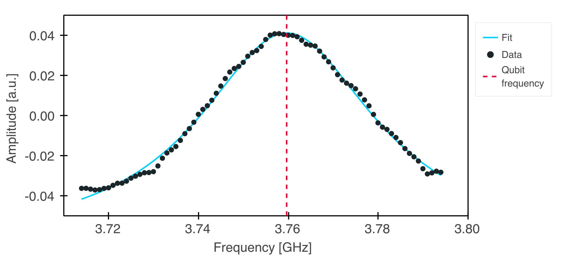
Analysis steps¶
-
The amplitude of the resonator's signal is calculated as \(\sqrt{I^2 + Q^2}\), where \(I\) and \(Q\) are the in-phase and quadrature components of the transmitted signal, respectively.
-
This amplitude is plotted as a function of the drive frequency, and the qubit frequency is extracted from the centre of a Lorentzian shape fit to the data.
-
Marek Pechal. Microwave photonics in superconducting circuits. PhD thesis, ETH Zürich, 2016. doi:10.3929/ethz-a-010735338. ↩
