Cross-resonance pulse duration¶
The notebook implements cross-resonance tomography with a smaller time step, allowing for a more precise determination of the gate duration.
Description¶
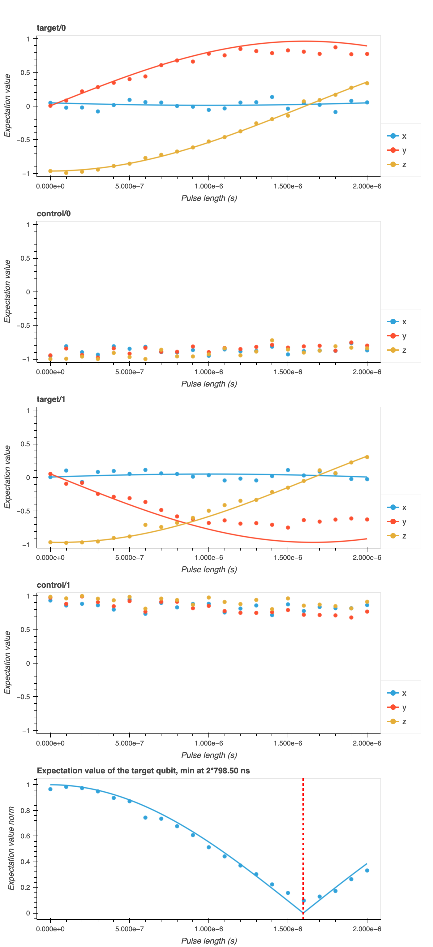
As explained in the Cross Resonance Amplitude Sweep, two-qubit entangling operations can be realized using a microwave-activated cross-resonance interaction1. This interaction is enabled by applying a cross-resonant drive tone, corresponding to a qubit drive resonant with a neighboring qubit's transition. The local drive on one qubit (\(Q_C\), the control qubit), resonant with the first transition frequency of the other qubit (\(Q_T\), the target qubit), introduces an interaction between them. The interaction Hamiltonian depends on the cross-resonance pulse amplitude, \(\Omega_{12}\), but also on its phase.
In this notebook, we implement cross-resonance tomography with a smaller time step to more precisely determine the gate duration.
For more theoretical details, please refer to the Cross Resonance Amplitude Sweep experiment.
Experimental steps¶
-
Defining the circuits needed to perform cross-resonance tomography, the method
_build_single_qubit_instructionsinside the classCrossResonanceTomographyreceives qubit characterization and constructs a dictionary containing three key-value pairs:-
ctrl_rx180p: It creates a gate instruction namedrx180pfor the control qubit. The frequency is set to the value obtained from the characterization. -
target_rx90p: It creates a gate instruction namedrx90pfor the target qubit. The frequency is set to the value obtained from the characterization, and thexy_angleis set to0. -
target_ry90m: It creates a gate instruction namedry90mfor the target qubit. The frequency is set to the value obtained from the characterization, and thexy_angleis set to-np.pi / 2.
-
-
For each pair of the control qubit states (0-1 states) and expectation values in the \(\sigma_x\), \(\sigma_y\), and \(\sigma_z\) bases, denoted as
(ctrl_state, exp_val), we perform aCrossResonanceTomography:-
If
ctrl_state == 1, appendctrl_rx180p. -
Applying a
cr_pulse(\(\hat{ZX}\)):-
If we set
echo=True,cr_pulseconsists of an echo-gate scheme (to reduce errors in the calibration, a cancellation tone can be applied [3]). A \(\hat{ZX}\) gate can be formed with tworx180gates on the control qubit. -
If we set
echo=False,cr_pulseconsists of actrl_rx180ppulse.
-
-
Measuring the resonator transmission and collect the \(I\) and \(Q\) signals:
-
Applying
target_ry90mto measure the qubit in the \(\sigma_x\)-basis. -
Applying
target_rx90pto measure the qubit in the \(\sigma_y\)-basis. -
No extra pulse is applied to measure the qubit in the \(\sigma_z\)-basis.
-
-
Analysis steps¶
-
Computing the resonator's amplitude (
amplitude) signal as a function ofpulse_lengths. Here, we predict the qubit state from the \(IQ\) data by applying thecomposite_discriminatorobtained in the Correlated Readout Error experiment. -
Computing the
expectation_values(omega_x,omega_y,omega_z) in the (\(\sigma_x\), \(\sigma_y\), \(\sigma_z\)) basis using the populations obtained in step 1. -
Computing the off-resonant control qubit drive terms, cross-resonance interaction terms, and rotations on the target qubit (
hamiltonian_param), i.e.,["IX", "IY", "IZ", "ZX", "ZY", "ZZ"]. We utilize thefit_\cross_resonance_curvesfunction, employing thecr_propagatorandpropagate_statefunctions to simulate quantum states based on the input parameters (omega_x,omega_y,omega_z) from 2. On one hand,cr_propagatorcalculates the propagator for a quantum gate corresponding to the cross-resonance interaction over a small time interval. It constructs a 3x3 matrix generator based on the input angular frequencies (omega_x,omega_y,omega_z) and returns the matrix exponential of the generator matrix multiplied by the time stepdt. On the other hand,propagate_stateiteratively applies the previous propagator to the initial state at each time point in the listts(pulse_lengths).
-
Chad Rigetti and Michel Devoret. Fully microwave-tunable universal gates in superconducting qubits with linear couplings and fixed transition frequencies. Phys. Rev. B, 81:134507, Apr 2010. doi:10.1103/PhysRevB.81.134507. ↩
